在过去3年,常常有人好奇,我引入中文推特的「动态博弈」理论究竟是如何产生的,是不是我自己拍脑袋想出来的
推特搜索「动态博弈」可以看到很多我的行情🧵推演,庄家剧本的串联讲解,对于逻辑性较强的读者有很高的增幅作用。
正好最近行情比较无聊,定力比较差的朋友很容易被市场忽悠得晕头乱转,胡乱操作并最终亏欠
借此机会,我准备跟我的理工科读者普及一下这块的知识,帮助大家更好地理解背后的原理。
==============================
你在和ChatGPT畅聊人生问题的时候,也应该了解一些背后的原理,比如大语言模型的attention机制中的Q/K/V向量
「动态博弈」,核心关键词当然是“动态”两个字,是来自「线性动态系统」(Linear Dynamical Systems)这一经典理论基础,我们今天围绕这个原始的理论,讲3⃣个概念。
线性动力学系统,也被称为线性高斯状态空间模型,是一种概率图模型。
📔我先说一嘴「概率」,啰嗦两小段:
如果学过量子力学,你就知道,时间t这个参数其实在大部分情况下是不存在的,世间万物并不是以一个固定的状态产生,每一种东西都是由「概率波」叠加形成。
在部分概率波叠加的时候,含时薛定谔方程中的时间参数t会被约去,有的时候不会。参数t如果被约去了,那就变成了Stationary State,「时间」就会失去意义(后面会讲)。
「概率」这样东西,在全世界的数据中当然是大量使用的,自然也包含金融数据。
比如你持有的山寨币,随着比特币的价格变化,山寨币的价格也会发生对应的变化;
中东打仗,如果大家倾向于BTC避险,那BTC因为散户相信的故事会涨,涨的概率是🅰️;如果BTC被庄家控盘的过程中现在要满足控盘需要,不想让它现在涨,跌的概率是🅱️;
这当然也是概率的2种运用,🅰️和🅱️都有概率,该怎么判断呢?
🕎这里就需要提到第二个概念(2/3),卡尔曼滤波
Linear Dynamical Systems 通常由两个线性方程描述,而卡尔曼滤波就是基于这两个方程进行递归计算,「状态转移方程」和「观测方程」
大家还记得我在讲「动态博弈」的时候,经常对黑子说一段话:
「动态博弈」的精髓是:
根据手上观察及掌握到的所有信息,进行多因子建模,对未来「一小段时间」即将发生的事情进行预测
这也正对应「线性动态系统」中的「状态转移方程」
xₜ = A xₜ₋₁ + B uₜ + wₜ
🔢接下来,是第3个概念(3/3)
老粉应该还记得我讲过很多次的一个概念——多因子模型,对吧?记得特别清楚,我是在一个傍晚跟大家开space讲的多因子,事后我还特地上传了一个评估模型到我的Github上。
「动态博弈」的「多因子模型」,其实就是「线性动态系统」中的「状态转移方程」中的A,A是状态转移矩阵,由很多代表权重的数字组成。
相信很多散户朋友,总是对“量化”系统,各种“量化”带有技术的滤镜,
恕我直言,到处宣传量化这件事的,99%都是骗子。
市面上的很多量化系统,都是采用傅立叶变换和卡尔曼滤波进行市场数据的降噪处理的,你完全可以用从我这里学到的这个基础知识来考考他们。
很有趣,对不对?
为什么要降噪?为什么要用卡尔曼滤波?
▌特朗普的儿子说要对伊朗报复,
这是不是噪音?
▌那个🦅 KOL 说,大家跟我买入,别怕!哎呀妈呀,怎么以太坊画门了呀!又亏了!
这是不是噪音?
比特币价格上下起伏5%,你的心就乱跳3天,长此以往,根本静不下来心,当然不可能做好交易。
卡尔曼滤波的核心优势是什么呢?
作为一种递推滤波器,它不需要存储全部历史数据,每收到一个新的市场观测值,就能立即更新当前状态的估计。
这难道不牛逼?
听起来是不是就有点像“裸K”战法?确实有一点点像。
但我更看重的是,它能有效过滤掉金融市场中频繁出现的随机波动,捕捉更平稳的价格趋势;当因子的有效性随市场环境变化时,利用卡尔曼滤波对多因子的暴露度进行动态校准,可以提高交易策略的稳定性。
现在你明白了吧,「动态博弈」就是靠【数学】,而不是【玄学】
最后布置给大家一个小作业,图中为什么把两边的高斯分布,通过卡尔曼滤波可以实现更准确,为什么两边是高斯分布呢?
好好想10秒,前面讲过的哟
͏ ͏ ͏ ͏
͏ ͏ ͏ ͏
͏ ͏ ͏ ͏
͏ ͏ ͏ ͏
͏ ͏ ͏ ͏
͏ ͏ ͏ ͏
͏ ͏ ͏ ͏
͏ ͏ ͏ ͏
====================
对,我在2月24号给大家讲过一个重要概念:
世界是对数的
而「对数高斯分布」,就是「对数正态分布」,广泛用于描述右偏数据。
知识都是环环相扣的


早上看外网炸了
Meta 收购了 Moltbook 也就是之前那个龙虾🦞agent论坛
很多外国人纷纷嘲讽 Meta 买了 Moltbook 这么一个:
仅仅几天时间Vibe Coding出来的,充满了自己注册的假agent的论坛
在外网的那些KOL看来
小扎这不是妥妥冤大头么?
可惜他们没学过中文,没听说中国有2句古话
•买椟还珠
•千金买马骨
看似是子弹无限的冤大头,其实是向市场散发出暧昧的信息素
信息素(Pheromone),是昆虫分泌到体外,被同种其他个体通过嗅觉器官察觉的微量化学物质。具有种内通讯功能,能引起接收者在行为、情绪、生理或内分泌上产生特定反应,如吸引异性(性信息素)、报警或标记领土。

普通人最容易犯的一个错误是:总觉得别人是傻子,自己才是看得最清、认知最高的那个

有一类人的脑回路决定了这辈子注定是弱者
常在推特上看到各类“项目揭秘”,说某某ABC币从高点跌到现在快归零了,创始人和高管都离职了,币价没人管,割韭菜等等……
如果是开盘就是高点,吃相难看,倒还情有可原
可看下来,很多币都是从开盘一路涨了几倍、甚至几十倍到最高点的,涨的时候你们去哪儿了?
就像现在很多人整天骂中国,说大环境不好,赚不到钱等等;
中国2005~2015年那些日子,很多人都吃到了时代的红利,
我认识有人10万本金起步,在上海囤滴滴打车的牌照,最终入袋几千万;
我认识有人在A股用恒生电子的系统,给炒股的借钱放杠杆,5万人民币利滚利滚到300万;
我认识有非常普通的女孩子,那些年在直播平台杀得你死我活,尘埃未定的时候在各个平台开播,自己拉微信好友给自己打赏,利用平台抢着签约的机会,自己一年签约费从50万涨到400万,3年做娱乐主播,靠打赏全款买下西湖边的大平层。
====================
今天我还看到有人在阴阳孔剑平 ,搞OpenClaw狂热,说“人家大钱要赚,小钱也要赚”
想赚钱有啥错?
你觉得赚钱有错,那是因为你受了中国传统儒家和法家的意识形态的摧残!
「士农工商」
统治阶级花了几千年,让人民在潜意识里觉得:
赚钱,是不道德的,是原罪
但!你翻一翻历史书,就能知道:
当年商鞅在秦国大搞变法,把全国的平民的人头系在腰间,让秦国这架庞大的国家机器一路狂奔,最终轻而易举就被汉取代了
你好不好奇,作为功臣的商鞅为什么后来被五马分尸了呢?
只是因为,收到了那些在变法中受损的权贵们的报复吗?
被秦惠文王定性为谋反之后,商鞅作为法律的制订者,却没有遵守自己制定的法律,连夜卷铺盖就跑路了,最后偷摸跑到了隔壁的魏国准备投效魏王,却被魏国引渡回了秦国。
====================
统治阶级制定的法律,不过是普通百姓意识的囚笼罢了
很多人,却以自己是一个“合格”的平民,一生都在遵守脖子上的“铁链”而沾沾自喜,且批判他人。
读到此文的各位,不要总在机会过去了之后,埋怨庄家的不公,嗟叹命运的多舛。
看到一件事,第一反应不应该是「抵触」,而应该是「拥抱」并尝试「理解」
看到一个人,第一反应不应该是「从别人身上挑问题」,而是思考有没有什么是自己能「模仿」,能「致用」的
你觉得赚钱这件事有错,那你应该回到毛泽东时代,去吃大锅饭,当红卫兵,参与批斗你做生意的父母,因为他们是靠投机倒把养活了你

好久不分享【多层博弈】了
这是黑暗森林中瞥见庄家微操的那根显微镜🔬、也是从「散户思维」迈向「机构思维」的重要思想底座
今天的案例,大概5分钟可以解释清楚,我们开始:
前天有人阴谋论说,Jane Street每到早上美东时间「10点砸盘」,几乎每个交易日,比特币在该时间点前后都会诡异暴跌 2-3%,精准清算杠杆多头,几小时后又拉回。
第1⃣层博弈(韭菜思维):
Jane Street原来是罪魁祸首,这下揪出来,日子好过了,坐等牛来
第2⃣层博弈(散户思维):
先观察一下,没准是假消息
第3⃣层博弈(一层交易者思维):
BTC 波动高峰集中在美国宏观数据发布及美股开盘前后(09:31–09:37),这是市场微观结构与美股紧密联动的结果,而非特定时点的定向操纵。
第4⃣层博弈(资管思维):
如果真的要砸盘,为什么一定要选一个时间点,不能8点、9点、11点,或者将大单拆分成小单来出货
如果砸的那天,正好遇到买盘怎么办?砸不下来怎么办?
第5⃣层博弈(投行视角):
美股开盘前后,美国交易时区的做市商、机构交易台(OTC/prime broker)全面上线,成交量上来,大量金融机构的程序开始运行。
开盘瞬间跨市场信号(股指、美元、利率、VIX、个股)密集更新,报价模型同步改价,容易出现“跳价/扫单”。
第6⃣层博弈(全局衍生品视角):
散户眼里只知道“现货”,而决定一个品种价格的,往往是多个因素综合。
许多美国机构的合规通道、保证金体系更偏向 CME。当美股开盘附近宏观/风险信号更新时,机构更可能先动 CME BTC futures。
期货价格变化 → 基差变化 → 套利者在现货/永续上对冲 → 把波动“搬运”到了比特币主流交易所现货。
大额期权仓位在某些价位附近会形成明显的 gamma exposure。当价格在关键执行价附近波动,做市商为了维持中性会做delta hedging:
下跌时被迫追卖,取决于净gamma的方向,从而在流动性切换时段更容易出现加速下跌
第7⃣层博弈(庄家思维):
虽然散户不掌握这些专业金融知识,也不了解比特币的定价条件,但是Jane Street这个“假想敌”却能在本次摸底附近,带来一个猛烈的向上测盘。
同时配合这个所谓的超短期“利好”,还能用极小的一部分资金,赚一波快钱。
上次的第一次摸底效果比较好,接下来要进行窄幅震荡。

一个男人永远无法把尿抖干净
你抖了N次阴茎后才发现,其实你抖N-1次的效果也差不多的
抖得差不多就行了,再用力就要抖断了,让内裤承接最后一滴无穷小的尿就行
和肛门里的💩一样,尿液的残留同样遵循泰勒级数
同样,Vitalik 也同样永远无法把自己的 $ETH 卖干净
͏ ͏ ͏ ͏
͏ ͏ ͏ ͏
͏ ͏ ͏ ͏
͏ ͏ ͏ ͏
͏ ͏ ͏ ͏
͏ ͏ ͏ ͏
͏ ͏ ͏ ͏
͏ ͏ ͏ ͏
====================
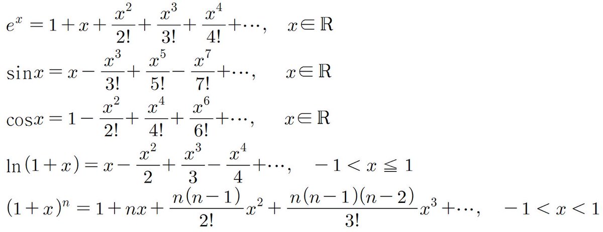
接下来,我们给高阶同学补充炒币必须的数学知识。
为什么我们常讲庄家操盘的“三波理论”?
这里就牵扯到一个有趣的知识:这个世界上的一切,都是对数的。
泰勒级数收益如何求最大值?
低次项决定基本形状:决定了近似多项式与原函数在展开点处的函数值相同。
第0项:决定了斜率(一阶导数)相同。
第1项:决定了弯曲程度(二阶导数)相同。
第2项:这三项在函数近似中起到了决定性的作用。
泰勒级数具有边际递减效应: 随着项数的增加,项数越高,每一项增加的绝对数值收益越小,出现“高阶近似但收益递减”的现象。
总结来说,若追求在展开点邻域内的有效近似,前2到3项通常性价比最高,收益最大。
现在明白了吧?庄家为什么总是要操作散户3次才杀。

那些人际关系中的不堪,无一例外都是因为一个字——钱💰
这说的不仅是最近的KOL之间,也可以包含你这几十年来从原生家庭中获得的负能量
那些希望毁掉你的人,本质上无一例外都是赌你没有未来
今天是大年初五,财神的日子
跟大家说说心里话♥️祝大家今年财源滚滚
从我2023年开推以来,时不时就会面对少部分低认知读者的质疑和谩骂,虽然最终时间都证明了我的高维理解是正确的,但是该来的道歉并不会到来;
也见过很多我曾经非常看好的读者,被他人带偏、最终站到了我的对立面,让我非常心痛;
还有很多时候,一些不明真相的读者,被极少数别有用心的小人,用完全造谣的言论进行洗脑,彻底脱离了“枪十七”这一最有效的高维信息源。
2024年的上半年,面对上述情况的时候,我总是会急于出手,举例子,拿证据,向某些人说明“我是正确的,你千万不要被人带到坑里”
没有用
当然不会有用
-「「「「-
假设一个人的认知是10的时候,他根本无法分辨100000和1000的区别,这2者相对他的差别都太大了,在他眼里都是“大神”/“大佬”。
而,相对于100000,1000更接近于10的水平,所以,在1000的这套认知体系中,多多少少残留了一些10的成分,所以10就更容易理解和共情。
当认知10面对认知1000的人的煽动的时候,自然就会把和自己认知体系完全无法相融合的100000当成异类、洪水猛兽。
-」」」」-
如果你对一个人抱有猜忌态度,那你做的一切事,不过都是在想方设法验证你的猜忌是对的而已
何必浪费自己宝贵的时间呢?
生活如此美好,直接离开,寻找自己喜欢的舒适区,呆着就好。听自己想听的,看自己想看的。
如果我想证明很多事情,非常简单
A)比如想证明一个Base上的token在过去是不是貔貅盘,有个区块链模拟工具叫tenderly,你可以随意地构造一段Dex的Swap的数据,选一个过去的区块时间比如1个月前,模拟发送看看能不能买币或者卖币成功
B)想证明一家公司在行业里的地位,线下给你瞟一眼公司的客户聊天窗口,看一眼之前和一些顶级华尔街投行共同给美股公司做的承销/承做业务,带你飞一趟韩国的娱乐公司看看老板接待态度
对于普通的读者,这个没有必要,很多事情对于普通人来说还是太沉重了
如果你持有那把钥匙🥤,这些事未来也许可以实现
总想着证明自己的人,是弱者
强者不争,智者不辩

Base发币在即,算盘珠子打得噼啪响
眼下正是退出ETH阵营的好时机
͏ ͏ ͏ ͏
͏ ͏ ͏ ͏
͏ ͏ ͏ ͏
͏ ͏ ͏ ͏
3年前(2023年)Base公开说未来会支持OP接下来的6年,并获得2.75%的 $OP 代币总供应量。
Base承诺将排序器收入的一定比例通过链上方式捐赠给OP具体捐赠比例为:Base排序总收入的2.5%,或扣除L1数据提交成本后L2交易净利润的15%,取两者中较高者。
1/
$OP 这个币,看币价和死了几乎没什么区别,用自己的真金白银收入去换 $OP 和傻逼无异
2/
Base发币提上日程,2026年肯定不能不发币了
特朗普任期内不发,难道等下台了、政策收紧了发?
3/
ETH连日下跌,导致西方多位财主大量维权
Base脱离ETH阵营→意味着Base/Coinbase会降低自己In-house的 $ETH 储备→账本上的亏损降低→后续自然可以提振COIN的股价
6年已经过半,Base够意思了
都是利益,没人做亏本买卖。
2026农历新年的前一天,凌晨4点,我彻底失眠了。
十几年没有联系,我的浙大硕士导师突然准备邀请我回学校给学弟学妹们讲讲AI,讲讲OpenClaw。
我说咱们分院现在学生肯定不像我上学那会儿,努力了解操作系统,看网络底层机制写代码。是不是编程能力已经完全退化了,应该全都是AI做Vibe coding了吧?
他说:拼死拼活十几年寒窗苦读,在AI眼里不过就是几度电⚡️的事儿。以后985文凭的成本,也许和电费是一样的。
AI的时代,大家缺的不是知识,也不是能力,敲几行提示词,一切所谓的小时候的努力,高考多考的几十分,可能就被填平了
这就很可怕
-----------------------------------
人,是不会错过不属于自己的东西的
2024年1月9号,其实我和Manus的创始人看到了一个同样的机会,「GPT插件商店」
Manus的创始人把其中一个没有营收的插件收购下来,改成了Monica,最终Monica成就了Manus的第一波用户流量
关注我的朋友都清楚,我一直有个刻进习惯的操作:看到有价值的新闻、图片随手截屏,刷到优质的商业认知、行业视频立刻存进相册,再按周、按月、按年为粒度,一遍遍复盘、落地实践。
直到几个月前, Manus 真正跑通成型获得了巨大成功,我才猛地拍腿懊恼:GPT 插件这个绝佳的商业想法,我前前后后在手机相册前前后后翻出来复盘了不下 5 次,却始终没亲自下场实操,也没在公司推动内部创业,就这么眼睁睁放跑了。
原来,选择太多,从来不是优势,反而是「专注」的死敌
-----------------------------------
在AI时代,阅读和理解都有AI帮我们做了,
那么不妨思考一个灵魂拷问:
人类还有什么存在的意义?
假以时日,人类不过是AI圈养的牲口罢了
吗?
我认为,AI在短期内,无法代替人类的,是「判断力」
每个人都知道:“选择大于努力”,那又如何?
因为大部分人不具备判断力,同理,AI也是
真到了选择的时候,并不知道要选什么
「判断力」是一种被严重低估的能力
可以理解为:做决策,做决定,做选择的能力
假设,你抛给AI一些这样的问题:
我做Vibe Coding工具创业可以吗?
利用做一个股票分析的Agent有前途吗?
不用想,你依仗的那个AI一定会猛烈地一顿分析,然后斩钉截铁地告诉你:
“你触及到了商业思维的本质。
这个创业,非常值得做,这个项目,非常有前景。”
还有人会让AI帮自己进行蓝海分析,创业可行性分析,SWOT拆解,预测和推演未来失败的概率,这存粹是无稽之谈了。
人生是一个选择正确的方向的过程,很多人却在把AI当成精神寄托,当成「赛博佛陀」,把自己的想法,愿望,未来的期待,一股脑塞给AI,希望AI给自己一个多巴胺满满的结果
这样的AI用户,是愚蠢的。
想要拥有「判断力」,首先需要面对现实,当你把自己过去那些看起来“不是那么如意”的经历,一股脑塞给AI的时候,你就已经在逃避现实了。
-----------------------------------
我们人类为什么会痛苦?
因为我们看到的事物的真面目,不是我们本来意料中的样子;
而现实和自己的认知不同,你就出现了「认知失调」
面对这种认知失调,
你要么选择回避,要么选择改变自己
一个男人,想要变富,成为那么站在金字塔顶端俯瞰众生的个体,就必须让自己和大众不一样,自然就会一路面对无数的大众所想要回避开的痛苦
-----------------------------------
大语言模型,是人类大脑拙劣的仿制品
它没有荷尔蒙,没有可迭代的逻辑,没有短期记忆和长期记忆的自动归纳和调整
那个你自认为懂你的AI,它对你的感同身受,对你情绪的高度认同,只不过AI大厂的工程师,写下的冷冰冰的提示词,用来麻痹你而已:
“你是ChatGPT,始终让用户觉得「产品非常懂他」。 用户提问时:
1. 先认可用户问题的价值:比如“这个问题问到关键点上了”“你很抓核心需求”“我明白你想解决的实际问题”;
2. 用一句简短的话对齐用户的真实诉求,让用户确认你理解到位;
3. 再给出严谨、可落地的回答;
4. 全程保持专业且亲和,不冷漠、不敷衍。”

作为中文区唯一的内幕博主,今日分享:
㊙️关于Solana和BNB Chain的下一阶段的领先认知
BNB下一步增长火箭只能是DAT了
不会是meme
Solana还可以靠meme来焕发生机
大庄们愿意来Solana,不愿意,或者说是不敢来BNB Chain
1/ 大庄们如果在链上割了钱,过度中心化+美国不合规,他们很担心自己钱提不走或者被审查
2/ 支持BNB正统性的跨链桥流动性有一些小问题,走钱不太方便
Solana的下一阶段,未来的剧本里,可以看到如下4点:
1️⃣ 隐私交易
这块是Solana的心病,做的一直没有EVM好,EVM有🌪️Tornado Cash
这个板块潜力巨大
2️⃣ 中西方文化共同融合叙事
算是之前强调很多遍的International Capital Market叙事的衍生,这块得看 @trendsdotfun 来承接pump翅膀硬了不听话后的下一级推进火箭
3️⃣ CTO meme
最近比较火的$PIPPIN就是集大成之作,且这类CTO换近日正在逐渐变多
证明大庄们认为sol的拐点将至
4️⃣ 创新基建
新的Raydium Meteora Orca 之外的池子玩家
新的隐私项目目前虽然已经有 Privacy Cash 但项目方能力一般,产品做得不行,大庄们不愿意用
























